Many students struggle to understand how to accurately convert SGPA to CGPA. This confusion can impact their academic transcripts, GPA calculations, and even eligibility for scholarships or study abroad programs. Many students struggle to understand how to accurately convert SGPA to CGPA, and this confusion can impact their academic transcripts, GPA calculations, and eligibility for scholarships or study-abroad programs.
This confusion can feel overwhelming: different universities have different grading scales, and simply knowing your SGPA doesn’t tell you your CGPA directly. But the good news is that with the right formula, step-by-step guidance, and a bit of practice, you can easily calculate CGPA from SGPA without any mistakes.
In this guide, you’ll learn everything about how to calculate SGPA, how to convert SGPA to CGPA, the difference between SGPA and CGPA, and even how to use an SGPA to CGPA calculator. By the end, you’ll be confident in handling your grades like a pro.
What are SGPA and CGPA?
Before diving into the conversion, it’s crucial to understand what SGPA and CGPA are.
Choose your dream country
When do you want to study abroad?
What's your highest level of education?
Select you current city
How Leap will help you
Personalised University Shortlist
Express Applications with Quicker Admits
End-to-End Application Support
- SGPA (Semester Grade Point Average): SGPA measures your academic performance in a single semester. It is calculated based on the credits of each course and the grade points earned.
- CGPA (Cumulative Grade Point Average): CGPA is the overall academic performance across all semesters. It is an average of all SGPAs, weighted by credit hours.
Understanding the distinction is important because many students confuse the two, leading to mistakes when reporting their performance.
Key Difference Between SGPA and CGPA:
| Parameter | SGPA | CGPA |
|---|---|---|
| Timeframe | Represents performance in a single semester | Represents performance across the entire program |
| Calculation | Based on semester credits | Weighted average of all SGPAs |
| Purpose | Semester performance | Overall academic record |
How to Calculate SGPA?
Calculating SGPA is the first step before conversion. Here’s the formula:
SGPA Formula:

Step-by-Step Example:
Suppose a student has 5 subjects in a semester:
| Subject | Credits | Grade Point |
|---|---|---|
| Math | 4 | 9 |
| Physics | 3 | 8 |
| Chemistry | 3 | 7 |
| Computer | 2 | 10 |
| English | 2 | 8 |

This means the student’s SGPA for this semester is 8.36.
How to Convert SGPA into CGPA?
Once you have SGPA, converting it to CGPA is straightforward:
CGPA Formula:

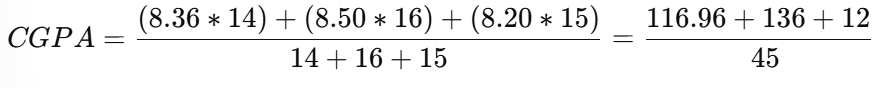
Step-by-Step Example:
Suppose a student has completed 3 semesters:
| Semester | SGPA | Credits |
|---|---|---|
| 1 | 8.36 | 14 |
| 2 | 8.50 | 16 |
| 3 | 8.20 | 15 |

So, the CGPA is 8.36.
Tip: Use an online SGPA to CGPA calculator for faster results, especially if you have multiple semesters.
How to Find SGPA from CGPA?
Sometimes, students need to find SGPA from CGPA, especially when comparing semester performance.

Example: If CGPA after 3 semesters is 8.36 and the SGPA for semester 1 and 2 were 8.2 and 8.5 with credits 14 and 16 respectively, for semester 3 with 15 credits:

SGPA to CGPA Calculator
A SGPA to CGPA calculator is a handy tool for students who want to avoid manual calculations. Many websites, including LeapScholar, provide calculators where you just input:
- SGPA of each semester
- Credit hours of each semester
The calculator instantly gives the CGPA and can save time and reduce errors.
Why Understanding SGPA vs CGPA Matters?
- Academic Transcripts: Universities and employers often require CGPA, not SGPA.
- Scholarships & Admissions: Many scholarships require CGPA cut-offs.
- Study Abroad: Different countries interpret grades differently; accurate conversion ensures eligibility.
- Performance Tracking: Understanding the difference between SGPA and CGPA helps students monitor their performance and improve.
CGPA to SGPA Conversion
Some students may need CGPA to SGPA converter to understand individual semester performance.
Formula Recap:
Online CGPA to SGPA calculator or converter tools can make this process quicker.
Common Mistakes Students Make While Calculating SGPA to CGPA
- Confusing SGPA with CGPA and using them interchangeably.
- Not using credit-weighted averages, which leads to an incorrect CGPA.
- Ignoring rounding rules, always follow your university’s guidelines.
- Not checking formulas for CGPA when semesters have different credit loads.
Conclusion
Converting SGPA to CGPA accurately is essential for students who want precise academic records, eligibility for scholarships, and smooth admission processes. With formulas, examples, and online SGPA to CGPA calculators, this task becomes simple and error-free.
At LeapScholar, we provide resources, calculators, and expert guidance to help students track, convert, and understand their grades effectively. Start using our tools today and take control of your academic performance!
Frequently Asked Questions(FAQ’s)
-
Q. Which is the best SGPA to CGPA calculator?
Ans. There are various online SGPA to CGPA calculators available, but it's essential to choose a reliable one that accurately converts your grades. It's recommended to use the calculator provided by your university as it follows the specific grading system used by them. However, if you're looking for an independent calculator, you can check out websites like GradeCalc or ScribbleNerd, which are popular among students.
-
Q. Which international universities use CGPA?
Ans. Many international universities use CGPA (Cumulative Grade Point Average) as a way of measuring a student's academic performance. This grading system is commonly used in countries such as the United States, Canada, and India, as well as in some European and Asian universities. It allows for a standardised evaluation of students across different courses and departments and is often preferred over percentage-based grading systems.
-
Q. Is 8.11 CGPA good?
Ans. An 8.11 CGPA is a good score, but it depends on the grading system and the context. In general, a score above 8.0 is considered to be above average. However, the exact interpretation of the score may vary depending on the institution and the field of study. It's always a good idea to consult with a counsellor or an academic advisor to get a better understanding of how your score compares to others.
-
Q. What is the full form of CGPA?
Ans. CGPA stands for "Cumulative Grade Point Average." It is a numerical representation of a student's academic performance, which takes into account all the grades they have received in their courses. CGPA is calculated by adding up the grade points earned in each course and dividing by the total number of credit hours. This system is commonly used in universities and colleges around the world to evaluate a student's overall academic achievement.
-
Q. How to convert SGPA into CGPA?
Ans. To convert SGPA (Semester Grade Point Average) into CGPA (Cumulative Grade Point Average), you need to calculate the average of all the SGPA scores. Add up all the SGPA scores of each semester and divide them by the total number of semesters. The resulting number will be your CGPA. This is a common practice in many universities and colleges in the UK to determine a student's overall academic performance.
-
Q. How to find CGPA from SGPA?
Ans. To find the CGPA from SGPA, multiply your SGPA by the total number of credits obtained in the semester. Then, add the product of SGPA and the total number of credits obtained in all the semesters. Divide the sum by the total number of credits obtained in all the semesters. This will give you the CGPA.



Have Questions? Get Guidance to reach your Dream University
Connect with India's finest counsellors and biggest study abroad community.
Get Guidance